PageRank是什么意思?详解网页等级PageRank的算法、提升方法及作用
一、PageRank是什么意思
PageRank简称PR,中文翻译为网页等级,又称页面等级或者网页权重,是Goolgle用来评估一个页面相对于其他页面重要性的一个算法规则,用于衡量特定网页相对于搜索引擎索引中的其他网页而言的重要程度,PageRank在搜索引擎优化操作中是经常被用来评估网页优化的成效因素之一。

PageRank网页等级是Google在20世纪90年代后期在搜索引擎领域提出的一个重要概念。2001年9月Google被授予美国专利。这个概念引自学术中一篇论文的被引述的频度,即被引述的次数越多,这篇论文的权威性越高。意思就是说,如果A页面有一个链接指向B页面,那就可以看作是A页面对B页面的一种信任或推荐。所以,如果一个页面的反向链接越多,再根据这些链接的价值加权越高,那搜索引擎就会判断这样的页面更为重要,PageRank页面等级也就越高。
PageRank网页等级评价一个网页用0~10的数字来显示, 10级为满分。PR值越高说明该网页越受欢迎(越重要)。例如:一个PR值为1的网站表明这个网站不太具有流行度,而PR值为7到10则表明这个网站非常受欢迎(或者说极其重要)。一般PR值达到4,就算是一个不错的网站了。Google把自己的网站的PR值定到9,这说明Google这个网站是非常受欢迎的,也可以说这个网站非常重要。
比喻解释
想象互联网是一个巨大的“选举”系统:
每个网页都是一个“候选人”。
每个指向其他网页的链接就是一张“选票”。
投票权不同:知名权威人士(高 PageRank 网站)的投票比普通人的投票(低 PageRank 网站)更有分量。
一个候选人(网页)的最终得分(PageRank)不仅取决于有多少人给他投票,更取决于这些投票者本身的分量有多大。
同时,还有一小部分“随机票”投给任何人,确保每个人都有机会。
二、网页等级PageRank的算法
PageRank网页等级让链接来"投票",一个页面的"得票数"由所有链向它的页面的重要性来决定,到一个页面的超链接相当于对该页投一票。一个页面的PageRank是由所有链向它的页面 "链入页面"的重要性经过递归算法得到的。一个有较多链入的页面会有较高的等级,相反如果一个页面没有任何链入页面,那么它没有等级。
2005年初,Google为网页链接推出一项新属性nofollow,使得网站管理员和网站作者可以做出一些Google不计票的链接,也就是说这些链接不算作"投票"。nofollow标签的设置可以抵制评论垃圾。
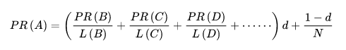
假设一个由4个页面组成的小团体:A,B,C和D。如果所有页面都链向A,那么A的PR(PageRank)值将是B、C及D的Pagerank总和。

继续假设B也有链接到C,并且D也有链接到包括A的3个页面。一个页面不能投票2次。所以B给每个页面半票。以同样的逻辑,D投出的票只有三分之一算到了A的PageRank上。

换句话说,根据链出总数平分一个页面的PR值。

最后,所有这些被换算为一个百分比再乘上一个系数。由于"没有向外链接的页面"传递出去的PageRank会是0,所以,Google通过数学系统给了每个页面一个最小值:

说明:在Sergey Brin和Lawrence Page的1998年原文中给每一个页面设定的最小值是1-d,而不是这里的(1-d)/N。 所以一个页面的PageRank是由其他页面的PageRank计算得到。Google不断的重复计算每个页面的PageRank。如果给每个页面一个随机PageRank值(非0),那么经过不断的重复计算,这些页面的PR值会趋向于稳定,也就是收敛的状态。这就是搜索引擎使用它的原因。
PageRank的优点:是一个与查询无关的静态算法,所有网页的PageRank值通过离线计算获得;有效减少在线查询时的计算量,极大降低了查询响应时间。
PageRank的不足:人们的查询具有主题特征,PageRank忽略了主题相关性,导致结果的相关性和主题性降低;另外,PageRank有很严重的对新网页的歧视。
三、提升网页等级PageRank的方法
1、网站内部优化提升
(1)、内部程序结构
网站的内部结构对于搜索引擎的抓取有着很重要的意义,同样对于网站的PR值计算也是有着一定的影响。这里我们鼓励大家使用常见的建站系统进行搭建,相比较其他而言,这样的系统无论从系统安全性还是搜索引擎的认知度上都是比较不错的。
(2)、稳定更新
网站的稳定更新是搜索引擎判断一个网站是否经营良好的标准之一,保持网站内容的稳定更新,可以帮助搜索引擎判断你网站的活跃程度,活跃程度越高的网站自然他的PR值也就会越高。
(3)、文章内容新颖度
新颖度是指网站的文章如果是原创内容,那么会为网站权重加分,如果再有其他的网站对网站内容的转载,那么网站文章的权威性就更加得到了认可。对于这样提供高质量内容的网站,PageRank(PR)值自然不会低。
2、网站外部优化提升
(1)、友情链接
友情链接应该算是提升网站PR值的一大法宝了。从Google公布的PR值计算方法后,网站优化工程师就发现,PageRank(PR)值的计算是网站间权重的相互传递。也就是说,通过权重的叠加,可以使网站的PR值得到提升。这就是为什么老站的PR值一般要高于新站的原因了。
(2)、外链数量
外链数量可以具体体现出一个网站在整个网络环境中的受欢迎程度。网站的外链越多,在搜索引擎看来,这个网站的受欢迎度就越高,搜索引擎也就自然而然有理由为这样受欢迎的网站提升PageRank(PR)值了。
(3)、高权重外链
高权重外链是指搜索引擎认识中的权威网站,比如重点的新闻源网站、行业权威或领先的网站。另外还要提醒大家一种高质量外链资源,那就是搜索引擎自家的产品,作为搜索引擎自带的百科、问答、等产品,网站的权威性也毋庸置疑,是一种难得的外链资源。
四、网页等级PageRank的作用
网页等级PageRank用于衡量特定网页相对于搜索引擎索引中的其他网页而言的重要程度,PageRank(PR)值的高低还具有以下作用。
1、影响网页在搜索引擎的自然排名。网页等级越高,在搜索引擎获得排名的机会就更多,反之就更少。
2、影响网站收录深度和网页页面数。搜索引擎搜索引擎蜘蛛爬取時间及数据库查询的范围也是比较有限的。对大中小型网站而言,主页PR值是推动网站收录的关键因素之一。
3、影响友情链接的交换。SEOer都喜欢与网页等级PageRank高于自己站点进行友链交换,从而提升自身站点的PageRank(PR)值。
五、PageRank的重要性
1、排序搜索结果:
Google 利用计算出的 PageRank 值(结合其他数百种信号)对搜索结果进行排序。通常,PageRank 较高的网页会被排在更靠前的位置,因为它们被认为更权威、更相关(至少在链接关系上)。
2、衡量网页权威性:
它是量化网页在互联网链接结构中所处地位的核心指标。
3、解决早期搜索引擎问题:
在 PageRank 出现之前,搜索引擎主要依赖关键词匹配,容易被垃圾页面和关键词堆砌所操纵。PageRank 通过分析链接关系,大大提高了搜索结果的质量和相关性,有效对抗了垃圾信息。
4、网络结构的数学建模:
其思想(将链接视为投票,并递归计算重要性)被广泛应用于网络科学、社交网络分析、推荐系统等多个领域。
五、网页等级PageRank常见问题
1、网页等级PageRank是否还有用?
Google 最后一次更新 PR 是 2013 年 12 月 6 日,并且谷歌官方也已经宣布将停止 PR 值的更新,于2016 年谷歌正式取消对 Toolbar Pagerank 的支持。
有些 SEO 人员将 PageRank 视为一种过时且不相关的指标,并在现在的 SEO 中没有立足之地,从优化猩seo实操经验来看,PageRank 仍然是他们算法的一部分,只是公开的分数(即工具栏的 PageRank)不再存在。
即PageRank在Google所有算法中依然是至关重要的,仍然具有一定的参考价值,Google搜索引擎比最初复杂、完善了许多。在学术界,这个算法被公认为是文献检索中最大的贡献之一,并且被很多大学列为信息检索课程( Information Retrieval)的内容。佩奇也因为这个算法在30岁时当选为美国工程院院士,是继乔布斯和盖茨之后又一位当选院士的辍学生。
2、网页等级PageRank与网站权重有什么区别?
网页等级PageRank(PR)值只是谷歌对一个网页的评级,而网站权重则是搜索引擎对网站整体的评估,还包括链接的相关性,内容质量,页面加载速度,用户访问行为指标,社会影响力等诸多因素。也就是说,PR值和权重之间是部分与整体的关系。PR值高的网站未必就比PR值低的网站排名高,因为前者的权重可能会低于后者的权重。
六、其他链接相关的排名算法
1、Topic-Sensitive(主题敏感的PageRank)
基本思想:针对PageRank对主题的忽略而提出。核心思想:通过离线计算出一个PageRank向量集合,该集合中的每一个向量与某一主题相关,即计算某个页面关于不同主题的得分。主要分为两个阶段:主题相关的PageRank向量集合的计算和在线查询时主题的确定。
优点:根据用户的查询请求和相关上下文判断用户查询相关的主题(用户的兴趣)返回查询结果准确性高。
不足:没有利用主题的相关性来提高链接得分的准确性。
2、Hilltop
基本思想:与PageRank的不同之处:仅考虑专家页面的链接。主要包括两个步骤:专家页面搜索和目标页面排序。
优点:相关性强,结果准确。
不足:专家页面的搜索和确定对算法起关键作用,专家页面的质量决定了算法的准确性,而专家页面的质量和公平性难以保证;忽略了大量非专家页面的影响,不能反映整个Internet的民意;当没有足够的专家页面存在时,返回空,所以Hilltop适合对于查询排序进行求精。
总结
优化猩SEO:对于搜索引擎而言,网页等级PageRank算法最终目的是找出高质量的网页提供给搜索用户,所以站长首先要做的是提升网页的内容质量,然后再配合外链建设,从而有效的提升网页的PageRank(PR)值。
参考链接:
google pagerank_百度百科
https://baike.baidu.com/item/google%20pagerank/2465380
页面等级_百度百科
https://baike.baidu.com/item/%E9%A1%B5%E9%9D%A2%E7%AD%89%E7%BA%A7/6410866
PR值与网站权重有什么关系? - 知乎
https://zhuanlan.zhihu.com/p/148075376
修改于2025-07-18
想了解更多SEO百科的内容,请访问:SEO百科

